09/04/2026 02:56
Bài chia sẻ của chuyên gia ESG/GHG Phạm Hoài Trung.

Chuyên gia ESG/GHG Phạm Hoài Trung
Trong nhiều năm, phát thải khí nhà kính thường được nhìn như một vấn đề môi trường, một nội dung của báo cáo ESG, hoặc một chủ đề kỹ thuật thuộc về bộ phận EHS, phát triển bền vững hay kiểm kê khí nhà kính. Nhưng trong bối cảnh tài chính hiện đại, cách nhìn đó đang thay đổi rất nhanh. Phát thải của doanh nghiệp ngày nay không còn dừng lại ở câu chuyện “ảnh hưởng đến môi trường” mà đã bắt đầu dịch chuyển thành một biến số tài chính, vì nó có thể ảnh hưởng đến dòng tiền tương lai, khả năng trả nợ, giá trị tài sản bảo đảm, chi phí vốn và cuối cùng là giá trị doanh nghiệp. Chính vì vậy, khi nói đến mối liên hệ giữa carbon và tài chính, cần nhìn nó như một chuỗi truyền dẫn hoàn chỉnh: từ phát thải của doanh nghiệp, đi vào rủi ro tín dụng của từng khoản vay, tích tụ thành rủi ro của cả danh mục ngân hàng, rồi phản ánh ngược trở lại thành lãi vay, credit spread, WACC và định giá doanh nghiệp.
Muốn hiểu chuỗi truyền dẫn này, trước hết phải hiểu rằng ngân hàng không chỉ là nơi cho vay tiền một cách trung tính. Ngân hàng là nơi phân bổ vốn vào nền kinh tế. Mỗi khoản vay cấp ra không chỉ là một giao dịch tài chính, mà còn là một quyết định tài trợ cho một mô hình sản xuất, một chuỗi logistics, một tài sản, một công nghệ và một quỹ đạo phát thải nhất định. Nếu ngân hàng cho vay vào các doanh nghiệp phụ thuộc nhiều vào nhiên liệu hóa thạch, công nghệ tiêu hao năng lượng lớn, tài sản ở vùng dễ tổn thương khí hậu, hoặc mô hình kinh doanh có carbon intensity cao, thì ngân hàng không chỉ đang sở hữu một danh mục tín dụng thông thường, mà còn đang tích tụ một danh mục rủi ro khí hậu. Khung TCFD được xây dựng chính để giúp tổ chức công bố rủi ro và cơ hội liên quan đến khí hậu theo bốn trụ cột: quản trị, chiến lược, quản trị rủi ro và chỉ tiêu – mục tiêu. Các khuyến nghị này được thiết kế như thông tin hướng tới tương lai, hữu ích cho quyết định tài chính.
Điều đó có nghĩa là gì trong ngôn ngữ đời thường? Nghĩa là ngân hàng không thể chỉ nhìn từng món vay theo kiểu truyền thống: tài sản bảo đảm bao nhiêu, báo cáo tài chính đẹp hay không, doanh thu năm nay ra sao. Họ còn phải nhìn thêm một lớp rất quan trọng: nếu chính sách carbon siết mạnh lên, nếu khách hàng quốc tế yêu cầu dữ liệu phát thải, nếu công nghệ carbon thấp thay thế nhanh hơn dự kiến, hoặc nếu thiên tai vật lý làm gián đoạn tài sản và hoạt động sản xuất, thì những doanh nghiệp đi vay này có còn trả nợ được tốt như hiện tại không. Khi câu hỏi này xuất hiện ở quy mô từng khách hàng thì nó là rủi ro tín dụng; nhưng khi nó xuất hiện đồng thời ở nhiều khách hàng cùng ngành, cùng địa lý, cùng mô hình phát thải, thì nó trở thành rủi ro danh mục của ngân hàng.
Đó chính là điểm xuất phát của cơ chế truyền dẫn tài chính của khí hậu. Phát thải của doanh nghiệp không “nhảy” trực tiếp vào bảng lãi suất của ngân hàng theo kiểu cơ học. Nó đi qua một chuỗi trung gian. Doanh nghiệp phát thải cao thường có rủi ro chuyển đổi lớn hơn. Rủi ro chuyển đổi này có thể đến từ thuế carbon, chi phí tuân thủ, sức ép từ khách hàng, CBAM, yêu cầu ESG của nhà mua hàng, công nghệ mới, yêu cầu minh bạch Scope 1, Scope 2, Scope 3, hay việc các chuỗi cung ứng toàn cầu sàng lọc nhà cung cấp theo dữ liệu khí hậu. IFRS S2 hiện yêu cầu đơn vị công bố thông tin về rủi ro khí hậu và cơ hội khí hậu hữu ích cho người sử dụng báo cáo tài chính, và chuẩn này nêu rất rõ hai nhóm rủi ro cốt lõi là rủi ro vật lý và rủi ro chuyển đổi. Chuẩn cũng hướng đến việc người đọc hiểu ảnh hưởng của các rủi ro này đến dòng tiền, khả năng tiếp cận tài chính và chi phí vốn.
Vì vậy, khi một doanh nghiệp có carbon intensity cao, câu chuyện không chỉ là “phát thải nhiều CO₂e”, mà sâu hơn là doanh nghiệp đó có khả năng đang vận hành một mô hình ít hiệu quả hơn, dễ tổn thương hơn và tốn kém hơn trong tương lai. Khi chi phí năng lượng tăng, chi phí tuân thủ tăng, yêu cầu đầu tư chuyển đổi tăng, hoặc doanh nghiệp mất khách hàng vì không đáp ứng được yêu cầu phát thải, thì EBITDA sẽ bị ép xuống, dòng tiền hoạt động sẽ yếu đi và khả năng trả nợ sẽ xấu đi. Nếu viết theo logic tài chính, chuỗi này có thể biểu diễn như sau:

Trong đó, DSCR là hệ số bao phủ nghĩa vụ nợ, còn PD là xác suất vỡ nợ. Diễn giải đời thường, doanh nghiệp phát thải cao giống như một chiếc máy đang chạy nhưng tiêu hao quá nhiều nhiên liệu, phụ thuộc vào một loại nhiên liệu có nguy cơ bị đánh phí, bị hạn chế hoặc bị thay thế. Hôm nay máy vẫn chạy, nhưng càng đi về tương lai, rủi ro trục trặc càng lớn. Khi ngân hàng đã tài trợ cho rất nhiều chiếc máy như vậy, thì rủi ro không còn là rủi ro của một khách hàng riêng lẻ nữa, mà trở thành rủi ro của cả danh mục.
Ở đây cần nhấn mạnh một điểm rất quan trọng: rủi ro khí hậu của danh mục cho vay không chỉ là một khẩu hiệu công bố. ECB trong hướng dẫn về rủi ro khí hậu và môi trường đã nêu kỳ vọng rằng các tổ chức tín dụng phải xem xét các rủi ro này trong chiến lược, quản trị, quản trị rủi ro, và đặc biệt trong quản trị rủi ro tín dụng ở mọi giai đoạn của quy trình cấp tín dụng, đồng thời phải theo dõi chúng trong danh mục. ECB cũng coi rủi ro khí hậu và môi trường là các yếu tố thúc đẩy những nhóm rủi ro hiện hữu, chứ không phải một nhóm rủi ro hoàn toàn tách biệt.
Điều này thay đổi bản chất mối quan hệ giữa doanh nghiệp và ngân hàng. Trước đây, doanh nghiệp có thể nghĩ rằng phát thải là việc nội bộ của mình, còn ngân hàng chỉ cần báo cáo tài chính, dòng tiền và tài sản bảo đảm. Nhưng nay, khi ngân hàng phải hiểu và báo cáo rủi ro khí hậu của danh mục, họ buộc phải hỏi sâu hơn về phát thải, nguồn năng lượng, vị trí tài sản, khả năng thích ứng, lộ trình chuyển đổi và chất lượng dữ liệu của khách hàng. Điều này cũng lý giải vì sao khái niệm financed emissions trở nên quan trọng. PCAF được xây dựng để giúp các tổ chức tài chính đo lường và công bố phát thải gắn với các khoản cho vay và đầu tư, tức phần phát thải mà hoạt động tài chính của họ đang tài trợ. PCAF gọi đây là financed emissions hoặc tác động khí hậu của danh mục.
Nói cách khác, doanh nghiệp là nơi phát thải trực tiếp, nhưng ngân hàng là nơi tài trợ cho mô hình phát thải đó. Do đó, phát thải của doanh nghiệp có thể chuyển hóa thành rủi ro tài chính của ngân hàng. Và khi đã trở thành rủi ro tài chính, nó không thể đứng ngoài định giá vốn được nữa. Đây chính là cây cầu nối từ phần thứ nhất sang phần thứ hai của câu chuyện: từ rủi ro danh mục của ngân hàng đến lãi vay của doanh nghiệp.
Về nguyên tắc, lãi vay mà doanh nghiệp phải trả có thể hình dung là lãi suất nền cộng với phần bù rủi ro tín dụng. Công thức cơ bản là:

Trong đó, R d là chi phí vốn vay, R f là lãi suất nền hoặc lãi suất phi rủi ro, còn Credit Spread là phần bù rủi ro. Nếu nhìn theo lối diễn giải đơn giản, R f là “giá gốc của tiền”, còn credit spread là “giá của sự không chắc chắn”. Doanh nghiệp càng bị nhìn là rủi ro, spread càng cao. Doanh nghiệp càng đáng tin, spread càng thấp.
Vấn đề là trong tài chính hiện đại, “rủi ro” không còn chỉ được hiểu bằng vài chỉ số truyền thống như nợ/vốn chủ, thanh khoản ngắn hạn, hay lịch sử tín dụng. Nó ngày càng bao gồm cả chất lượng mô hình chuyển đổi, carbon intensity, rủi ro vật lý, chất lượng MRV và khả năng thích ứng với yêu cầu khí hậu. Vì vậy, về mặt thực chất, có thể hiểu công thức trên theo cách mở rộng hơn:

Điều này không có nghĩa mọi ngân hàng đều đang dùng chính xác cùng một hàm toán học như vậy. Nhưng về logic quản trị rủi ro, đây là điều đang diễn ra: carbon bắt đầu đi vào các biến số quyết định credit spread.
Muốn hiểu tại sao, phải quay lại hai biến số cốt lõi trong tín dụng: PD và LGD. PD là xác suất doanh nghiệp không trả được nợ. LGD là mức tổn thất nếu doanh nghiệp vỡ nợ. Một doanh nghiệp có carbon intensity cao, phụ thuộc nhiều vào mô hình phát thải lớn, dữ liệu thiếu minh bạch, không có kế hoạch chuyển đổi, và dễ bị khách hàng hoặc chính sách gây áp lực sẽ thường bị nhìn là có PD cao hơn, vì khả năng tạo dòng tiền trong tương lai bấp bênh hơn. Đồng thời, nếu tài sản của doanh nghiệp cũng là tài sản dễ mất giá trong quá trình chuyển đổi xanh, chẳng hạn thiết bị cũ, đội xe phát thải cao, nhà xưởng ở vùng dễ ngập, dây chuyền tiêu hao năng lượng lớn, thì LGD cũng có thể cao hơn vì khả năng thu hồi tài sản của ngân hàng giảm xuống.
Đó là lý do tổn thất tín dụng kỳ vọng thường được biểu diễn bằng công thức:

Trong đó EAD là dư nợ phơi nhiễm. Nếu carbon làm tăng cả PD lẫn , thì expected credit loss tăng. Khi expected credit loss tăng, ngân hàng không thể cấp vốn với cùng một mức spread như trước. Họ buộc phải phản ánh điều đó vào giá vốn, vào hạn mức, vào covenant, vào tài sản bảo đảm hoặc vào điều kiện giải ngân.
Đây chính là lý do tại sao carbon bắt đầu đi vào lãi vay. Không phải vì ngân hàng muốn “làm môi trường”, mà vì carbon đang dần trở thành một biến số của rủi ro tín dụng. Doanh nghiệp phát thải cao có thể khiến chi phí năng lượng cao hơn, chi phí tuân thủ cao hơn, áp lực đầu tư lớn hơn, xác suất mất đơn hàng cao hơn và khả năng trả nợ yếu hơn. Khi ngân hàng nhìn thấy các nguy cơ đó, họ sẽ định giá vốn thận trọng hơn. Vì vậy, câu đúng không phải là “ngân hàng tăng lãi vì doanh nghiệp phát thải”, mà là “ngân hàng tăng spread vì doanh nghiệp bị nhìn là rủi ro hơn, và carbon là một trong các nguyên nhân làm tăng rủi ro đó”.
Muốn thấy tác động này cụ thể hơn, hãy nhìn vào hai chỉ số rất quen thuộc với ngân hàng là Interest Coverage Ratio và DSCR. Hệ số khả năng trả lãi có thể viết là:
Interest Coverage Ratio = EBID/Chi phí lãi vay
Hoặc trong thực tế, nhiều nơi dùng EBITDA:
Interest Coverage Ratio = EBIDA/Chi phí lãi vay
Còn hệ số bao phủ nghĩa vụ nợ là:
DSCR = Dòng tiền hoạt động thu/Nghĩa vụ nợ hàng năm
Nếu carbon intensity cao khiến doanh nghiệp tiêu thụ điện, nhiên liệu, logistics và nguyên vật liệu kém hiệu quả hơn, thì không chỉ phát thải tăng mà chi phí vận hành cũng tăng. Điều đó kéo EBIT, EBITDA và dòng tiền đi xuống. Khi Interest Coverage Ratio và DSCR giảm, doanh nghiệp bị nhìn là kém an toàn hơn. Và khi doanh nghiệp bị nhìn kém an toàn hơn, spread tăng lên là điều hợp logic.
Nói theo kiểu đời thường, doanh nghiệp phát thải cao thường không chỉ “thải nhiều”, mà còn “đốt tiền nhiều” hơn trong cấu trúc vận hành của mình. Vì vậy, carbon intensity cao rất thường là dấu hiệu bề mặt của một hệ thống hoạt động kém hiệu quả hơn. Ngược lại, doanh nghiệp nào giảm được carbon intensity một cách thực chất thường đồng thời giảm được điện, giảm được nhiên liệu, giảm được lãng phí vận hành, giảm được chi phí logistics và giảm được tổn thất nguyên vật liệu. Kết quả là EBITDA tốt hơn, dòng tiền chắc hơn, hồ sơ tín dụng đẹp hơn. Từ đó, về nguyên tắc, họ có cơ hội tiếp cận vốn với spread tốt hơn. Đây chính là ý niệm mà thị trường hay diễn đạt bằng hai hình ảnh: “brown penalty” cho mô hình carbon cao và “green discount” cho mô hình carbon thấp hơn.
Nhưng câu chuyện không dừng ở lãi vay. Khi chi phí vốn vay thay đổi, nó kéo theo một thay đổi lớn hơn là chi phí sử dụng vốn bình quân, tức WACC. Công thức WACC là:

Trong đó là vốn chủ sở hữu, E là nợ vay, D là chi phí vốn chủ sở hữu, R e là chi phí vốn vay và là thuế suất. Chỉ cần R d tăng lên vì credit spread tăng, thì WACC đã tăng. Khi WACC tăng, các dự án đầu tư trở nên khó khả thi hơn vì tỷ lệ chiết khấu cao hơn. Nhưng còn một lớp nữa: carbon không chỉ có thể làm tăng R d , mà còn có thể làm tăng cả R e .
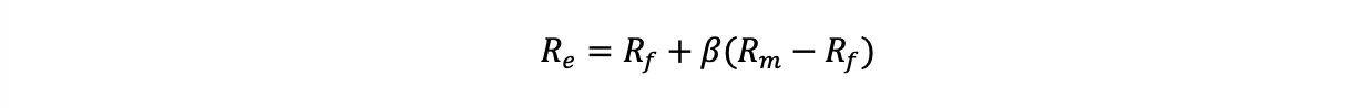
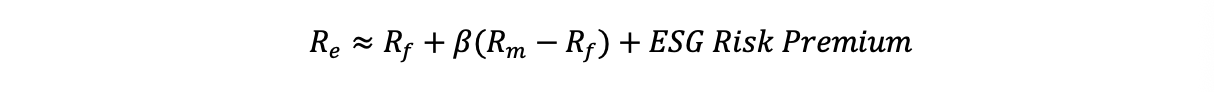
Theo mô hình CAPM cơ bản: 
Tuy nhiên, trong thực tiễn thị trường hiện nay, nhiều nhà đầu tư ngày càng nhìn rộng hơn theo logic rằng doanh nghiệp có rủi ro khí hậu và ESG cao sẽ bị yêu cầu mức lợi suất cao hơn để bù cho bất định đó. Có thể diễn giải gần đúng như sau:

Nếu doanh nghiệp bị xem là carbon cao, thiếu minh bạch dữ liệu, không có chiến lược chuyển đổi và dễ bị tổn thương bởi rủi ro khí hậu, thì cả bên cho vay lẫn bên góp vốn đều có thể yêu cầu “giá tiền” cao hơn. Khi đó, cả R d lẫn R e cùng tăng, làm WACC tăng mạnh hơn.
Và khi WACC tăng, giá trị doanh nghiệp chịu tác động trực tiếp. Trong mô hình chiết khấu dòng tiền, giá trị doanh nghiệp được biểu diễn như sau:

Trong đó FCFF t là dòng tiền tự do cho doanh nghiệp ở từng năm. Nếu cùng một dòng tiền tương lai nhưng WACC cao hơn, thì giá trị hiện tại của doanh nghiệp sẽ thấp hơn. Đây là một kết luận rất mạnh: carbon không chỉ tác động đến môi trường, không chỉ tác động đến báo cáo ESG, mà còn có thể đi thẳng vào định giá doanh nghiệp.
Đến đây, phần thứ ba của câu chuyện hiện ra rất rõ: vì sao doanh nghiệp carbon thấp có thể tạo ra lợi thế tài chính thật sự. Câu trả lời không nằm ở hình ảnh truyền thông xanh hay khẩu hiệu Net Zero, mà nằm ở bốn chữ: đo được, giảm được, chứng minh được, và liên kết được với tài chính. Doanh nghiệp carbon thấp hơn, hoặc ít nhất có quỹ đạo giảm carbon rõ ràng hơn, thường có một số lợi thế tài chính quan trọng.
Thứ nhất, họ có cơ hội kiểm soát chi phí vận hành tốt hơn. Carbon intensity thấp hơn thường đi cùng với hiệu quả năng lượng tốt hơn, logistics hợp lý hơn, ít lãng phí hơn và công nghệ phù hợp hơn. Điều này không phải luôn luôn đúng trong mọi trường hợp, nhưng trong rất nhiều ngành, carbon cao là dấu hiệu của cấu trúc chi phí còn nhiều dư địa tối ưu. Khi chi phí vận hành giảm, EBITDA cải thiện.
Thứ hai, khi EBITDA và dòng tiền tốt hơn, các chỉ số trả nợ như Interest Coverage Ratio và DSCR tốt hơn. Điều đó cải thiện hồ sơ tín dụng và có thể giúp doanh nghiệp được đánh giá là ít rủi ro hơn.
Thứ ba, doanh nghiệp có dữ liệu carbon rõ ràng, có MRV tốt, có lộ trình chuyển đổi và có bằng chứng thực hiện thường đáng tin hơn trong mắt ngân hàng. Trong tài chính, cái gì không đo được thì thường bị coi là rủi ro. Vì vậy, một doanh nghiệp chưa hoàn hảo về phát thải nhưng có dữ liệu rõ và có kế hoạch chuyển đổi đáng tin thường vẫn tốt hơn một doanh nghiệp không có số liệu và không biết mình đang ở đâu.
Thứ tư, khi rủi ro tín dụng giảm, credit spread có cơ sở để thấp hơn. Khi R d giảm, WACC giảm. Và khi WACC giảm, giá trị doanh nghiệp tăng lên trong mô hình định giá.
Nếu viết toàn bộ logic này thành một chuỗi hoàn chỉnh, ta có:

Đây chính là chỗ mà carbon trở thành câu chuyện của CEO và CFO, chứ không còn chỉ là câu chuyện của bộ phận môi trường. Vì khi carbon đi vào credit spread, WACC và enterprise value, thì nó đã đi vào trái tim của quản trị doanh nghiệp.
Từ góc nhìn chiến lược, điều này có một ý nghĩa rất lớn. Doanh nghiệp không nên nhìn việc kiểm kê khí nhà kính, chuẩn hóa MRV, giảm carbon intensity hay xây dựng lộ trình chuyển đổi như một gánh nặng báo cáo. Đó là hạ tầng dữ liệu và hạ tầng quản trị để doanh nghiệp tự bảo vệ khả năng tiếp cận vốn của mình trong tương lai. Khi ngân hàng phải hiểu rủi ro khí hậu của danh mục, áp lực đó sẽ truyền xuống doanh nghiệp. Doanh nghiệp nào không có dữ liệu, không có logic tính toán, không có bằng chứng, không có chiến lược giảm phát thải, sẽ dễ bị xem là một phần rủi ro “mù” trong danh mục ngân hàng. Mà rủi ro mù thì luôn bị định giá đắt hơn.
Ngược lại, doanh nghiệp nào làm được ba việc: xác định carbon intensity phù hợp với ngành, xây dựng MRV đáng tin cậy, và liên kết lộ trình giảm phát thải với CAPEX, OPEX, EBITDA, dòng tiền và chiến lược thị trường, thì đang tạo ra một lợi thế tài chính thực chất. Lợi thế đó có thể không phải lúc nào cũng hiện thành một khoản giảm lãi suất ngay lập tức, nhưng nó sẽ dần hiện ra qua hạn mức tín dụng tốt hơn, điều kiện vay thuận lợi hơn, niềm tin lớn hơn từ ngân hàng, khả năng huy động vốn dễ hơn, và mức WACC cạnh tranh hơn.
Kết luận lại phát thải của doanh nghiệp không dừng lại ở ống khói, ruộng đồng, đội xe hay dây chuyền sản xuất; nó đi tiếp vào dòng tiền, vào hồ sơ tín dụng, vào rủi ro danh mục của ngân hàng, vào credit spread, vào WACC và cuối cùng đi vào giá trị doanh nghiệp. Và vì vậy, trong tài chính hiện đại, carbon không còn chỉ là một chỉ số môi trường, mà đã trở thành một biến số của giá vốn.
Doanh nghiệp phát thải cao không chỉ có nguy cơ ô nhiễm môi trường; họ còn có nguy cơ phải mua tiền với giá đắt hơn. Ngược lại, doanh nghiệp nào đo được, giảm được và chứng minh được carbon của mình thì đang tạo ra một lợi thế tài chính thật sự.
Tuyên bố miễn trừ trách nhiệm: Nội dung trên được xây dựng nhằm mục đích đào tạo, phân tích và tham khảo chuyên môn về mối quan hệ giữa phát thải khí nhà kính, rủi ro khí hậu, tín dụng ngân hàng, chi phí vốn và định giá doanh nghiệp. Các công thức và ví dụ được trình bày nhằm minh họa logic tài chính – quản trị, không cấu thành lời khuyên đầu tư, tín dụng, pháp lý hoặc tư vấn tài chính chính thức. Việc áp dụng vào thực tế cần được hiệu chỉnh theo bối cảnh ngành, mô hình kinh doanh, chuẩn mực kế toán, quy định pháp lý và chính sách tín dụng cụ thể của từng tổ chức.

Tin liên quan